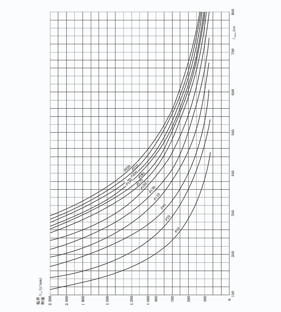
立式长轴泵最大轴承跨距及临界转速曲线图:HLB、HLBK、HLKT、HLBS、HLKS等长轴泵,立式长轴泵,长轴斜流泵,立式斜流泵最大轴承跨距及临界转速曲线图,仅供参考,以实物为准!

湖南立佳机械制造有限公司
生产地址:中国湖南省岳阳市湘阴县金龙镇湘阴工业园
胡经理:18507312158
易经理:15111351988
公司邮箱:sale@ljpump.net
作者:长沙长轴泵厂家湖南立佳机械 发布时间:2020/4/15 11:55:54点击:
立式长轴泵最大轴承跨距及临界转速曲线图:HLB、HLBK、HLKT、HLBS、HLKS等长轴泵,立式长轴泵,长轴斜流泵,立式斜流泵最大轴承跨距及临界转速曲线图,仅供参考,以实物为准!
